KANBrief 2/05

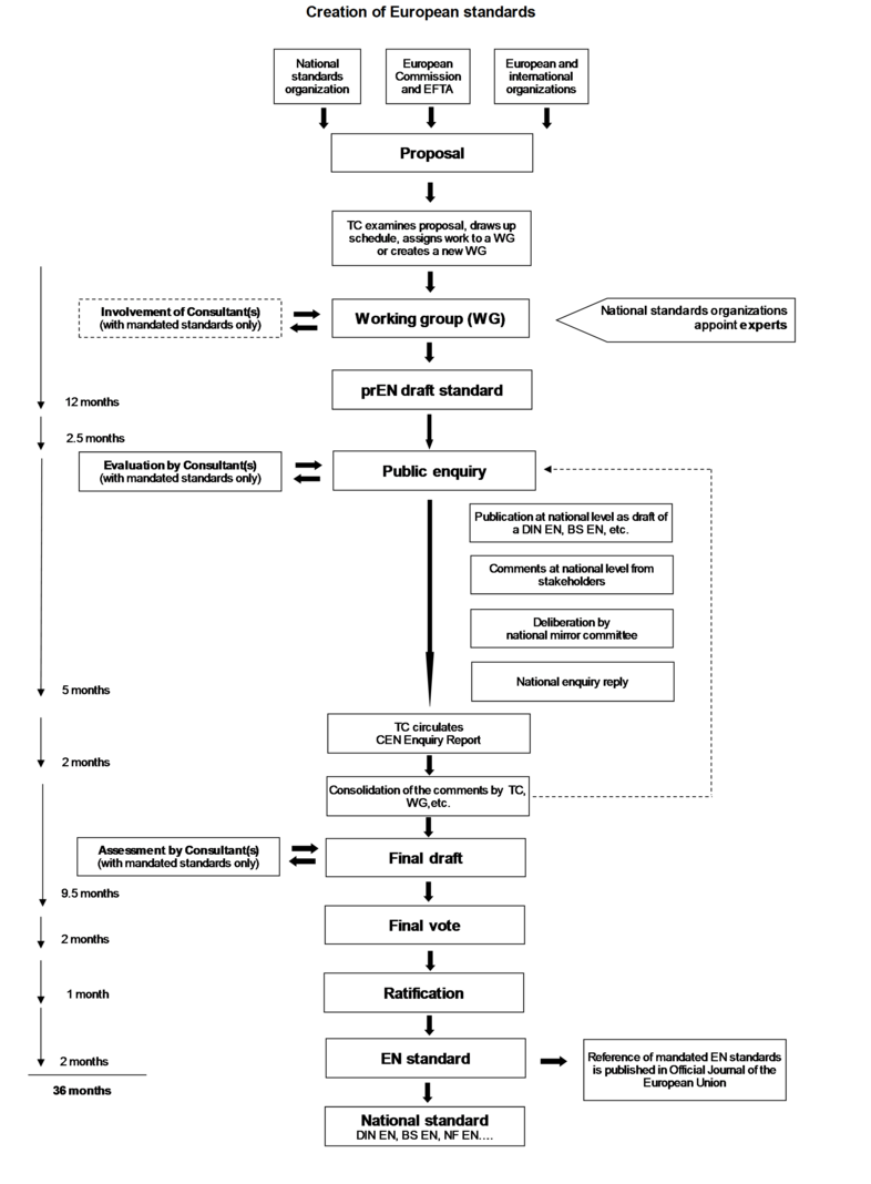
Creation of a European standard

When a European standard (EN) is adopted, it must also be transposed unchanged at national level. Participation in the relevant national mirror committee constitutes an effective means of influencing the substance of European standards. The mirror committee sends delegate experts to the European standards committees, formulates comments at national level upon European draft standards, and monitors the standards creation process, which takes place at a number of levels.

In the overwhelming majority of cases, European standards projects are launched by a national standards organization or, where the standard is intended to support a European directive, by the European Commission through a standardization mandate. If the subject of the proposed project meets with approval, a sufficient number of national standards organizations are willing to co-operate, and resources are available for maintenance of the secretariat, the work is assigned within CEN to an existing working group (WG) under the control of a technical committee (TC), or a new working group of experts is set up. The standard is developed in the WG under the responsibility of a convenor. One of the national standards organizations involved assumes the role of secretariat of the TC. The work of the WG and its convenor is also supported by one of the national standards organizations.

When the WG reaches agreement upon a European draft standard (prEN), a public enquiry is launched. The national standards organizations then have five months in which to organize a national position. In Germany, a DIN EN draft is published in German for this purpose ; any party may submit comments upon it to DIN within eight weeks. DIN’s template table for comments should be used for this purpose. Specific proposed formulations should be submitted in English in addition to German if at all possible. The national mirror committee discusses the comments received in a ”comments resolution meeting”, in which the objecting parties have the opportunity to present their case. The mirror committee then submits the collective national comments. In the case of mandated draft standards, the Consultants are also polled at European level for their recommendations once they have examined whether the essential requirements of the European directives are met.

Based upon the comments received, the WG produces a final draft. The national standards organizations then decide in a weighted final vote, at which changes to the substance of the European standard are no longer possible, whether or not to adopt it. At least 71% of the weighted votes are required for adoption of the standard.

Should the standard pass this voting state, it is ratified automatically one month later. It is not ratified automatically if an appeal launched in respect of the standardization project concerned is still in progress.

Following ratification, a European standard must be adopted in the form of national standards. National standards at variance with the new standard must be withdrawn. Where a standard has been mandated, the European standards organizations petition the European Commission for publication of its reference in the Official Journal of the European Union. Five years later at the latest, the standards organizations examine the need for revision of the European standard. This examination is normally conducted by consultation of the national mirror committees.

An objective is for a European standard to be completed within three years. For this reason, the standards organizations set deadlines for the individual development stages. Should the deadlines not be observed at certain stages, an extension may be requested. The standardization project is otherwise cancelled.

Early and active involvement in the standardization process is the best means of influencing the substance of European standards. DIN should however always be informed immediately should draft or published standards be found to warrant improvement. OH&S institutions and representatives of employers’ and employees’ bodies can enlist the aid of the KAN Secretariat in all procedural issues relating to their concerns.